地牢猎手5这款游戏中有破防么?地牢猎手5想必玩久了的朋友都知道,不同的武器有着不同的属性,除了面板伤害之外,暴击,恐惧,缓速等等效果在 游戏中也是非常的重要的。在很久之前,有一位玩家提出了一个问题,就是这款游戏中破防这个属性是否存在!!今天APP178手游小编给大家整理了一个网 络上的大神写的一篇文章,给大家说说破防是否存在,希望大家喜欢!
首先去要塞搜集数据。拿火法杖,不带火手部,不切换武器,去攻击跟火系无关的怪物。

横坐标为攻伤比,纵坐标为攻防差,得以下散点图

因此,从游戏设计者及基本常识推测一下该游戏的伤害公式形式。
1. 伤害=f(攻击,防御),即伤害是攻击和防御的函数,而且是个连续光滑的函数。
因为从设计者的角度来讲,不太可能设计一个分段函数。这也就是说,很可能根本没有一个点:超过此点出现伤害猛增的效果。从上图也可以看到,这些点没有跳跃,是个光滑函数。
2. 该伤害函数应该含有(攻击-防御)一项,因为从表中看到,:
(1)攻击和防御的差不同,伤害不同
(2)不可能是攻击除以防御的形式,因为有些点虽然比值一样,但伤害显然不同
3. 伤害很可能是、攻击xf(攻击-防御)、的形式,即伤害=攻击x攻伤比。因为从上楼图中看到,相似的攻防差,伤害和攻击成比例。
4. 此攻伤比其实就是我们常接触的减伤比例。
也就是说防御对伤害的影响其实就是通过影响减伤比例,作用于攻击,得到伤害。
如何估计该伤害函数呢?
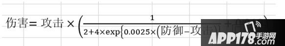
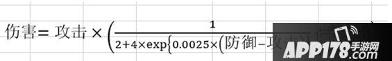
伤害=攻击xf(攻击-防御),变换一下,伤害/攻击=f(攻击-防御),即攻伤比=f(攻击-防御),f的图像如二楼所示。
根据表和图,
攻伤比函数有如下特点:
(1)是攻击减去防御的函数
(2)显然只能在(0,1)之间
(3)从图像看出,当攻防差趋于正无穷,函数趋于0.018~0.019
这表明,该函数是一个“S”型函数,即两端变化平缓,中间变化快,呈S型。用游戏中的语言就是,攻击再怎么低,也能对对方造成伤害;攻击再怎么高,伤害也高不过攻击;攻击和防御相等时,伤害变化得最快,也就是某些玩家观测到的破防(虽然后面我会讲,这并不是破防点)
工程上常用的S函数为sigmoid函数,其为最简单的s函数,用途广泛,游戏设计者很可能采用此函数。
接下来利用表中信息,估计该函数即可。利用excel solver。得到

图像为

绝对平均误差为:
31
所以结论是:
0. 伤害=攻击xf(防御-攻击)=攻击x(1-减伤率)。符合常理。
1. 从散点图中得到的无关模型(model free)的结论,即通用的结论:
伤害/攻击、在(-500,500)是关于、防御-攻击、近似线性的,也就是说根本不存在一个破防点:低于此点伤害和攻击相差不多,超过此点伤害猛降。实际情况是,伤害/攻击,即减伤比、减伤率,在(-500,500)近似是防御-攻击的线性函数。
也就是,减伤率随着防御和攻击的差的增加逐渐增加的。防御逐渐增加,减伤率逐渐增加,伤害逐渐增加。攻击逐渐增加,减伤率逐渐变低,伤害逐渐增加。
不存在破防点,攻击等于防御的时候,1-减伤率约等于20%,减伤率为80%!3500攻击的玩家打3500防御的玩家,造成伤害只有3500*20%=700点。
2.用模型拟合观测点,结果较好。



